检测到您当前使用浏览器版本过于老旧,会导致无法正常浏览网站;请您使用电脑里的其他浏览器如:360、QQ、搜狗浏览器的极速模式浏览,或者使用谷歌、火狐等浏览器。
下载Firefox

原文链接:https://doi.org/10.1039/D0GC02105A
关键词:生物质转化, 5-甲基糠醛, 6-脱氧糖, 鼠李糖, 催化
6-脱氧糖是自然界广泛分布的碳水化合物,可直接从植物或微生物中提取,亦可由其他碳水化合物转化而得,是制备5-甲基糠醛(MF)的理想原料之一。本文报导了一种简单方便的在AlCl3/NaCl盐溶液体系中高效催化鼠李糖(最廉价且已商业化的6-脱氧糖)为MF的方法。在7个连续循环实验中, MF产率接近100%。
背景介绍
-羟甲基糠醛(HMF)是被广泛关注的生物质平台化合物, 目前主要存在着分离提纯困难的难题。其它可代替的呋喃类化合物如5-氯甲基糠醛(CMF)、甲/乙酰氧基甲基糠醛(FMF/AMF)等因其不溶于水且易分离的特性而被逐渐关注。但生产此类化合物需消耗等量的盐酸、甲酸或乙酸。近年来,直接以MF为平台化合物制备各种化学品备受关注。相比于HMF, MF不溶于水,沸点较低,故容易分离。目前,MF主要由碳水化合物经HMF或CMF加氢而得,存在反应条件苛刻(如使用高压氢气,贵金属,强酸),和产率低的问题。6-脱氧糖是自然界广泛分布的碳水化合物,可直接从植物或微生物中提取,亦可由其他碳水化合物转化而得。已有研究表明,6-脱氧糖可在[BMIM]Cl/CrCl2体系下直接脱水而生成MF,无需外加氢气,贵金属等苛刻的催化条件。但该体系中昂贵的离子液体、毒性较强的CrCl2和不高的产率直接限制了其进一步应用。因此,急需开发一种廉价、绿色且高产率的催化体系催化6-脱氧糖为MF。
研究目标
本文旨在提供一种以可再生碳水化合物为原料,以廉价、低毒的金属氯化盐为催化剂在水溶液中高产率制备易分离提纯的生物质平台化合物的方法。
图文精读
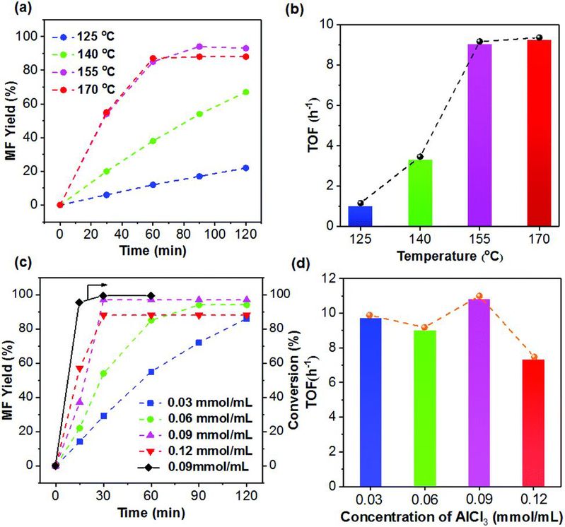
首先,作者测试了不同金属氯化盐催化鼠李糖为MF的催化性能,结果表明AlCl3活性最高(Fig. 2a,b)。进一步引入NaCl到反应体系能显著增加了MF产量(Fig. 2c)。系列控制实验表明Cl离子对MF的高产率起了重要的促进作用(Fig. 2d)。ATR-IR谱图证明Cl离子与鼠李糖的羟基之间存在氢键相互作用,该结果有利于糖脱除水分子(Fig. 2e)进一步对反应温度,时间和催化剂浓度进行优化,可得最大97%MF产率(Fig 3)。为了鉴定催化剂的活性组分,作者对反应溶液进行了ESI-MS测试,结果表明反应液中存在大量的[Al(OH)2(H2O)n]+组分及其碎片,并且能捕捉到鼠李糖与其结合的中间体(Fig. 4a)。当使用重水作为溶剂时,由于鼠李糖和氯化铝存在大量的结晶水,可以得到相似的MSI-MS结果(Fig. 4b) 。由此作者提出了以[Al(OH)2(H2O)n]+活性中心的反应机理(Fig. 4c)。此外,该反应体系可重复使用,在7次连续的循环实验中,MF产率接近100%(Fig. 5a),略高于初次实验,这是由于鼠李糖未完全转化和部分水相中残留的MF。放大实验进一步证明了该催化体系的高活性和工业化应用的可行性(Fig. 5b)。

Fig. 2 (a) Profiles of MF yield vs reaction time and
(b) TOF value catalysed by various metal salts.
(c) Profiles of MF yield vs the concentration of NaCl.
(d) MF yield vs various salt solutions (20 wt%).
(e) ATR-IR spectra of the reactive media with or without NaCl.

Fig. 3 (a) Profiles of MF yield vs reaction time and
(b) TOF value catalysed in different reaction temperature.
(c) Profiles of MF yield/conversion vs reaction time and
(d) TOF value obtained at different AlCl3 concentrations.

Fig. 4. ESI-MS spectrum of l-rhamnose monohydrate solution containing AlCl3·6H2O in (a) H2O and (b) D2O.
(c) The proposed reaction mechanism for the conversion of l-rhamnose to MF with AlCl3.

Fig. 5 (a) Catalytic behaviour of the NaCl-H2O/AlCl3 system for the conversion of L-rhamnose to MF over 7 consecutive cycles and
(b) large-scale conversion of L-rhamnose to MF.
心得与展望
长期以来,生物质平台化合物HMF的规模化制备及分离提纯等难题未被突破,因此,寻找一种替代的平台化合物及制备途径十分重要。6-脱氧糖是自然界广泛分布的碳水化合物,可直接从植物或微生物中提取,亦可由其他碳水化合物转化而得。本文实现了一种高效、廉价、绿色且具有工业化前景的从6-脱氧糖制备MF的方案,为平台化合物的制备提供了新思路。
课题组介绍
厦门大学能源学院生物质燃料与化学品团队现有固定员工7人,团队负责人为厦门大学生物质能“双一流”学科方向带头人林鹿教授。团队主要围绕陆地与海洋生物质的预处理及多途径梯级高值转化制备燃料化学品和材料等开展创新性研究与技术转化工作。本论文通讯作者曾宪海教授,博士生导师,福建省杰出青年基金获得者,在陆海生物质预处理及制备各类平台化合物如5-羟甲基糠醛、5-氯甲基糠醛、乙酰丙酸(酯)、戊内酯及其加氢、氧化、氨化、硫甙等转化,以及生物质高分子功能材料等方面取得了一系列成果。